【相对论】为什么说眼睛不能超光速,看到的已成历史,天上的星星都是假象?

文章图片

文章图片

文章图片

文章图片

文章图片

文章图片

眼睛长在人身上 , 人不超光速 , 眼睛如何超光速?并且人类超越不了光速 , 或者说组成你的微观粒子超不了光速 , 除非你是纯能量体 , 即由光子组成 , 但你就不是你了 , 你就成了一道光 。
图:人体内原子的构成
天体当时都是真实存在的 , 为什么要说当时呢?因为你得到的信息“不灵通”呀 , 你看到的都是历史 。
图:哈勃定律 , 天体退行速度与距离成正比 , 宇宙一直在膨胀 , 远处的天体一直在远离我们
具体怎么回事 , 下面我们来聊聊 。
光速超不了
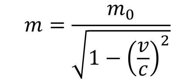
爱因斯坦的《质增效应》说任何静态质量不为零的物体都无法超越光速 。 简单来说 , 就像你有一个超精准的质量 , 哪怕再小的粒子也能称除质量来 。 当任何物体放在称上 , 相对于称不动(静止) , 称上显示的示数只要不为0 , 哪怕显示0.0...(n个0)01 , 那这个物体也达不到光速 。 为什么会这样?
- 量子分析光速无法超越
图:原子到基本粒子
本质其实老爱说了 , 质量的本质是能量 。 物质由粒子组成 , 也就是说微观粒子存在质量!那微观粒子质量拿来呢?我一杆子插到底吧!原子由质子、中子(电子质量太小)再由夸克(子)组成 。 每个质子或中子之中有3个不相同的夸克 , 并非夸克本身质量大 , 物质主要质量来源于夸克与夸克之间的强相互作用 , 也就是通过胶子(规范玻色子)来传递它们之间得能量 , 这种作用使夸克具有了大量的能量 , 于是夸克承载了物质大部分的质量来源 。 但是要产生强相互作用的前提是夸克本身要有质量 。 那夸克本身的质量又是来源于哪呢?
这就要说到质量之源 , 上帝粒子希格斯玻色子了 。 在量子力学中描述了 , 粒子都处于叠加态 , 同时具备波动性 , 又具备粒子性 。
图:希格斯玻色子的发现
- 『软件』明知有的副业是骗人的,为什么还是有很多人去做呢?
- 火星:明明距离地球最近的行星是金星,为什么全世界却都赶着去探测火星?
- 5g手机@5G手机出来许久,为什么大家都不买?这4个原因足以说明!
- 「」9个出人意料的事物,能让你,变成十万个为什么!
- 高通骁龙▲为什么懂手机的人建议选择麒麟820手机,而不是骁龙765G?
- 「5g手机」5G手机卖得很火,为什么大家买了5G手机还在用4G网?原因很无奈!
- 短视频▲王哥自媒体:短视频自媒体为什么你做赚不到收益,一定有这三个问题存在
- [月球]古人把月球称为广寒宫,为什么在古代,他们就知道月球很冷?
- [华为]智商税?为什么华为9元取卡针好评率达99%,苹果液态金属针受捧?
- 黑寡妇蜘蛛▲母螳螂吃公螳螂时,公螳螂为什么不逃跑?不是不想跑是根本跑不掉
